2022上半年四川中小学教师资格考试笔试合格分数线
【#教师资格证# 导语】®无忧考网从中国教育考试网获悉,2022上半年四川中小学教师资格考试笔试成绩已公布,笔试合格分数线按标准转换为120分制的70分为通过,具体详情如下:
2022上半年四川中小学教师资格考试卷面分为150分,按标准转换为120分制的70分为通过。笔试合格线由教育部考试中心确定,具有合格分数线以当次考试成绩查询结果为准。
2022上半年四川中小学教师资格证笔试成绩已公布,考生可登录中国教育考试网(http://ntce.neea.edu.cn/ntce/)自行查分。
根据下图教师资格证笔试成绩示例,教师资格证报告分满分120分,70分及以上为合格。

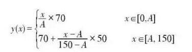
教师资格证考试卷面分为150分,教育部根据考试标准和当次考试情况,确定各科目全国统一的合格分数线。由于各个科目难度存在差异,其合格分数线不尽相同。为统一各科目的合格分数线,采用线性转换的方法,将考生0~150分量表上的原始成绩换算为0~120分量表上的转换分,并使各科目的合格分数线统一转换为70分。
分数转换方法如下:
设某科目原始成绩合格分数线为A(0<150),若考生在该科目的原始成绩为x(0≤x≤150),则转换分y(x)(0≤y(x)≤120)的计算公式为:<150),若考生在该科目的原始成绩为x(0≤x≤150),则转换分y(x)(0≤y(x)≤120)的计算公式为:

举例来说,设两个科目的合格分数线分别为A1和A2,则转换分y(x)关于原始成绩x的函数图像如图所示:

通过上述线性转换,各科目的合格分数线均转换为70分,且转换不改变考生成绩的高低顺序。原始成绩低于合格分数线的考生,换算后的转换分在70分以下;原始成绩高于合格分数线的考生,换算后的转换分在70分以上。

点击进入>>>>2022上半年四川幼儿和中小学教师资格证笔试成绩查询入口


